
Operator-based homogeneous coordinates: application in camera document scanning
  What's it about? 
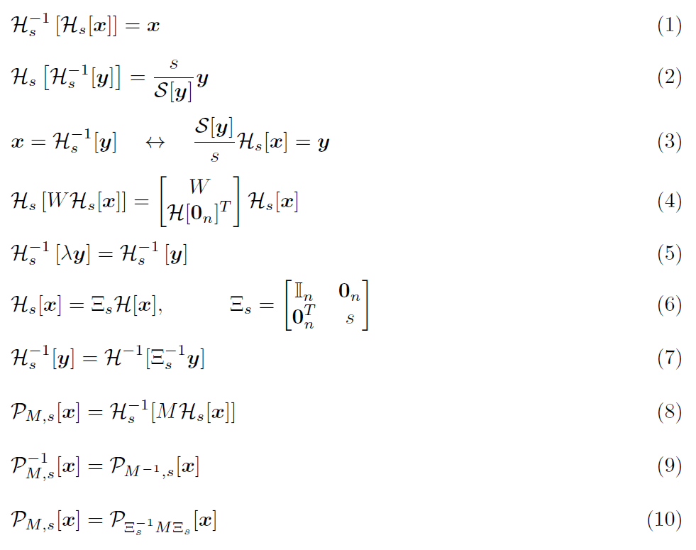
Homogeneous coordinates are an essential tool for vision-based applications. However, this topic and some others of projective geometry are poorly studied in the computer vision approach. This paper offers a tutorial on homogeneous coordinates and useful concepts for vision-based applications.
  Why is it important? 
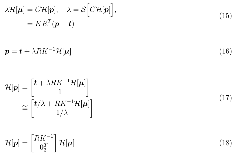
This paper provides a comprehensible tutorial on homogeneous coordinates to build the pinhole camera model and develop useful algorithms such as camera calibration and image perspective correction. This work could provide practical insights for inexperienced students computer vision and optical metrology among others.
  Perspectives 
I hope that this work is a good starting point to introduce inexperienced students in the scientific discipline of computer vision.



														
																