Splines cuadráticos
El contenido de este tutorial está basado en el libro de Steven C. Chapra, Applied Numerical Methods with MATLAB for Engineers and Scientists, 3ra Ed., McGraw-Hill Higher Education, 2011.
El contenido de este tutorial está basado en el libro de Steven C. Chapra, Applied Numerical Methods with MATLAB for Engineers and Scientists, 3ra Ed., McGraw-Hill Higher Education, 2011.

Consideremos un polinomio Si(x) de grado dos, una parábola, por cada intervalo [xi, xi+1]. Además, este polinomio tiene una derivada que se define en las ecuación (2).

Para definir los coeficientes ai, bi, y ci, se establecen las condiciones que deseamos se cumplan en cada intervalo. En la ecuación (3) se pide que los polinomios pasen por los puntos datos; es decir, sean polinomios de interpolación. Las siguientes tres restricciones son de continuidad:

Considerando la definición del polinomio Si y sus derivadas, las ecuaciones (3)-(5) se pueden reescribir como las ecuaciones (6)-(8), donde
hi = xi+1 - xi.

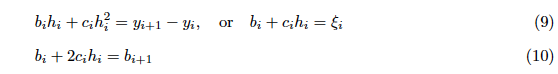
Observe que la ecuación (6) proporciona el valor de los coeficientes ai. Sustituyendo la ecuación (6) en (7), el sistema de ecuaciones (6)-(8) se reduce al nuevo sistema de ecuaciones (9)-(10), donde
ξi = (yi+1 - yi) / hi.

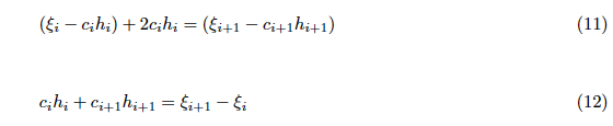
Para eliminar los coeficientes bi y bi+1 en la ecuación (10) usaremos la ecuación (9) dos veces: una en su forma original, i, y la otra para el polinomio i+1 como se muestra en la ecuación (11). Con esto, reducimos el sistema de ecuaciones a solo la ecuación (12).
En el menú Students\Teaching de este sitio web encontrarás otros temas que podrían resultar de tu interés. Puedes contactarnos para sugerir algún otro tema que desees que abordemos. Todos los comentarios son bienvenidos.