
Generalized phase-shifting interferometry by parameter estimation with the least squares method
  What's it about? 
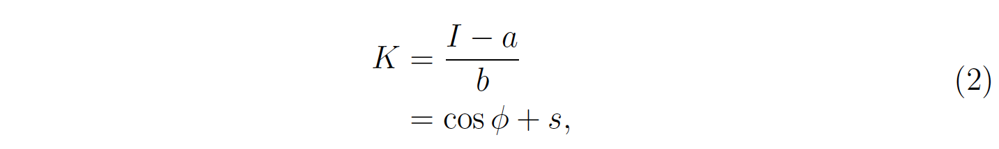
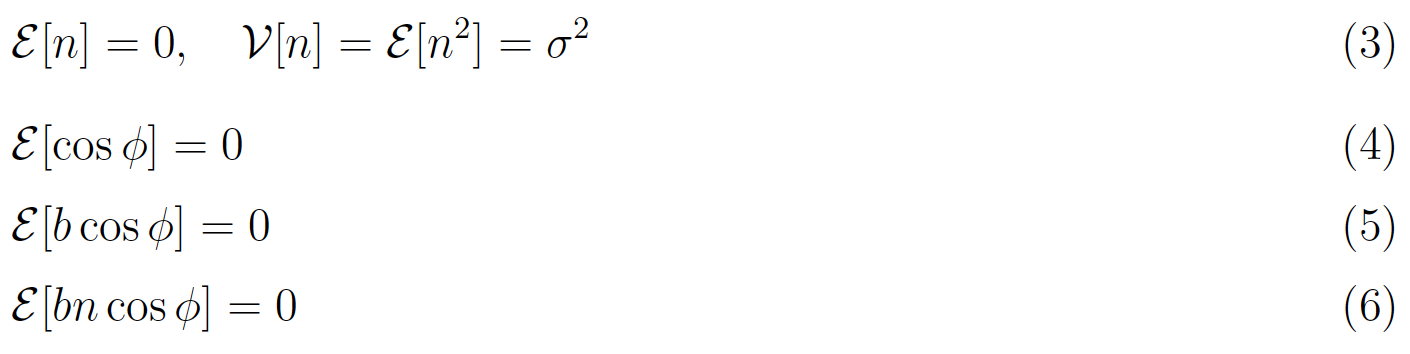
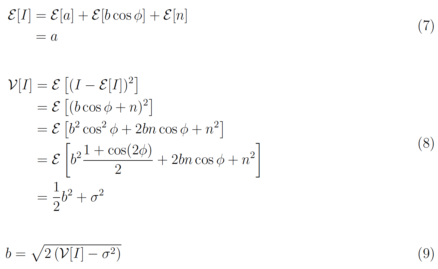
We report a phase-shifting algorithm that recovers the wrapped phase from two or more fringe patterns with arbitrary and unknown phase shifts. For this, a new fringe-pattern normalization method is developed. (See the tutorial below).
  Why is it important? 
This work shows for the first time that the phase-shifting is possible with just two fringe-patterns with arbitrary and unknown phase shifts as well as variable background and modulation lights. Moreover, the derived algorithm could be used in automatic real-time applications because of its user-free and fast execution.
														




